Next up for topologies on the fundamental group is what I’d consider the most “natural” one. It’s almost certainly the topology you’d most often get if you asked random topologists on the street to construct one for you. This is the natural quotient topology. I’m excited about this one. I studied this one a lot as a grad student so it’s near and dear to my heart.
Now, even though it’s easy to construct and the added topology often contains way more information than the ordinary non-topologized fundamental group, it is actually quite tricky to work with. I also mentioned in my primer post that this topology comes with historical baggage and I’ll get to that later in this post.
Let’s go ahead and define it. Throughout, will be a path-connected space with basepoint
. Let
denote the space of loops in
based at
, that is, maps
with
. We give
the usual compact-open topology, which is generated subbasis sets
for compact
and open
.
Every based loop has a corresponding path-homotopy class
. This defines a surjection
,
which identifies homotopy classes.
Definition: Let denote
equipped with the quotient topology with respect to the map
. We refer to this topology as the natural quotient topology on
.
What this means: Remember that a surjective function is a quotient map if
is open in
if and only if it’s a preimage
is open in
. Hence, a set
is open (closed) if and only if the set
of all loops representing the homotopy classes in
is open (closed) in
.
The “qtop” superscript is actually going to do double duty here. Yes, it stands for “quoteint topology” but it also invokes the term “quasitopological” as in quasitopological group. The early literature on the quotient topology is messy but has corrected itself and has seen a lot of growth in the past 10 years. A summary appears in the following paper.
Terminology: Occasionally, authors will call the quotient topology on the “compact-open topology.” Tisk tisk. Look…I get it. The quotient topology does descend from the compact-open topology. Fine. But it’s not the compact-open topology itself so why call it the compact-open topology. “c.o.-quotient” topology would be better. I get a little hot about this because other topologies on
like the tau-topology also depend very closely on the compact-open topology on loop spaces so when authors do this, I see it as an example of choosing to confuse terminology that avoids readily available descriptive terms. It’s a quotient topology… just call it what it is. Sometimes I’ve called it the quasitopological fundamental group, which is not ideal for more subtle reasons. At this point just “the natural quotient topology” is probably best. Sorry* for the rant.
In this sequence of posts, I’m going to detail some of the history, properties, and uses of the natural quotient topology on the fundamental group.
Understanding the compact-open topology
Since we’re form a quotient space from the compact-open topology, let’s briefly unpack what the compact-open topology is really about. A subbasic set of the form in
can be thought of as a single instruction. It contains all of the paths that do something similar, namely map
into
. A basis set is an intersection of subbasic sets, say
, which can be thought of as a finite set of instructions. If we have
, then
must map
into
, and
into
, and so on. Provided the compact sets
cover
, we have some kind of restriction on every point in the domain. For example, let
. Then
is a basic open set and every element of
must be a path which proceeds sequentially through the sets
in
at a certain rate.
It’s a folklore lemma that’s a bit tedious to prove that the sets of the form actually form a basis for the compact-open topology on
.
The compact-open topology is the one most often used on loop spaces because
- it usually has nice categorical properties,
- it generalizes the topology of uniform convergence. In particular, if
is a metric space, then
in
with the compact-open topology if and only if
uniformly in
,
- standard operations on loops are continuous.
Let’s expand upon 3. The usual concatenation of loops gives us an operation ,
where
is the loop that does
on
and
on
. We also have a reverse path operation
,
. Here,
simply does
in the opposite orientation. It’s a nice exercise to check that
and
are continuous. One should beware that
is not stricly unital or associative.
We can also restrict the concatenation map to continuous right- and left-concatenation maps:
,
;
,
.
Both of these are continuous as they can be identified with restrictions of .
What kind of thing is
?
The definition of is so natural and simple that this topologized group should to be a pretty nice thing, right? Let’s see what we can do. We really only need one tool from general topology.
University property of quotient maps: Consider spaces and functions
that make the following diagram commute (so
).

If is a quotient map and
is continunous, then
is continuous too.
The universal property is a powerful tool for showing that functions are continuous. Note that the universal property might appear in slightly different ways. For instance, we might instead have the following commutative square.
In a situation like this, the universal property becomes useful if we’re not sure if is continuous or not. If the left map
is a quotient map and the upper composition
is continuous, then
will also be continuous. Of course, this is just a special case of the triangle above, but for the sake of applications it’s good to be ready to use it in diagrams of various shapes.
Let’s try our best to prove that is a topological group. First, we’ll prove that inversion is continuous.
Proposition: Group inversion ,
is continuous.
Proof. Consider the following commutative square.
Here, is the reverse map. Since
, the diagram does indeed commute. Now both vertical maps are the quotient map
and as noted above,
is continuous. Since the left map is quotient and the upper composition
is continuous, the bottom maps
is continuous by the universal property of quotient maps.
.
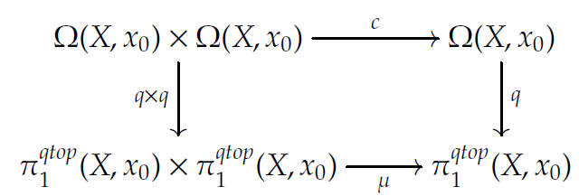
Ok, with the universal property in hand, that wasn’t so bad! Let’s see if we can do the same thing for group multiplication . WARNING: I’m about to propose an incorrect proof. It’s going to have an error in it. See if you can find it.
Proposed Proof. Consider the following commutative diagram where is the concatenation map and
is the group operation in the fundamental group.
Note that so the diagram does indeed commute. By definition
is a quotient map and as noted above
is continuous. Since the left vertical map
is quotient and the upper composition
is continuous, the bottom map
is continuous by the universal property of quotient maps. (QED?)
Seem ok? See any problems? The diagram commutes just fine. The upper composition is continuous. The error is in the phrase: “Since the left vertical map is quotient.” Here’s a valuable lesson friends. If we’re using the product topology (which is what you use for a topological group
to have continuous multiplication
), the direct product of two quotient maps is not always a quotient map. There are counterexamples in most introductory general topology books.
Just because a proof is wrong doesn’t always mean the claim is false. However…our wish here is false. Spoiler Alert: is NOT always a topological group. In fact, I’d say it’s rarely a topology group when it’s Hausdorff and non-discrete. Paul Fabel gave the first counterexample [4] and shortly after I published one [2] that connects to other structures from topological group theory.
Oops
The above logical error is an easy one to make and miss. The most notable place this mistake was made is in the 2002 paper:
[1] D. Biss, The topological fundamental group and generalized covering spaces,
Topology Appl. 124 (2002), 355–371. RETRACTED.
This paper had some really cool global ideas. However, there are a ton of independent errors in it…. I mean a ton. Very few results in it are correct. As you can see it is now retracted – and it even made retraction watch. According to Google Scolar, as of 8/25/2022, this paper has 90 citations! The errors within created something of a mess for a while because some papers called upon Biss’ false claims. For one, we no longer called it the “topological fundamental group” because we now know it’s not always “topological” in the sense of being a “topological” group. Unfortunately, several papers have cited [1] without mentioning the many errors or retraction.
The same error was used in [6] to claim the higher homotopy groups with the natural quotient topology are always topological groups. Paul Fabel constructed counterexamples to this higher-dimensional claim in [5].
Actually, the same mistake was made 12 years earlier in an appendix [7] written by my mathematical grandfather J.P. May. This short note involves a groupoid version of but it includes essentially the same error. However, unlike in Biss’ paper, the overall results are not damaged by this error because of the kinds of spaces being used.
I think most professional mathematicians, incluidng myself, have published some false arguments or statements. Sometimes our intuition guides our writing more than formal logic does. This can lead to a correct result but a proof with an easily fixable logical gap. Occasionally, like in this case, a published error might be unfixable.
Nobody wants to have their published mathematics end up being wrong. The point of publicly mentioning these specific papers is not to be hard on the people making the mistakes. I mean…. J.P. May, who asked me about this situation back in 2010, is one of the most influential and prolific algebraic topologists in the history of the subject. Also, Biss’ paper did end up being very influential even if it’s not in the intended way. That’s something to consider. Rather, the point of this part of the post is to:
- Encourage awareness about published errors so others don’t fall into the trap of doing mathematics that depends on false claims.
- Emphasize to young mathematicians that incorrect math can lead to new (and correct) ideas and areas of research and that even great mathematicians make mistakes here and there. It’s possible to own up to a mistake without getting defensive or letting it defeat you personally.
- Show that it is possible to point out mistakes of others at the research level in a respectful and kind manner.
How I learned to love horrifyingly complicated things
Now, look…sometimes the direct product of two quotient maps is a quotient map. And it’s true that for some spaces , this works and
does end up being a topological group. But this is really only guaranteed when the domain and codomain satisfy some (local) compactness criteria. This apparent failure of the topological category
is closely related to the fact that it is not Cartesian closed. Are there ways to cheat the system? Sure. This apparent deficiency goes away if you replace the usual category of spaces with a coreflective Cartesian closed category like compactly generated spaces, sequential spaces, delta-generated spaces, etc. However, if you work internal to one of these categories, the group-objects in those categories may not be true topological groups.
Before, you demand that we switch to one of these categories consider where this is going. Maybe consider the question “what is the fundamental group good for?” I’d say its utility is that it is an invariant, which creates a symbiotic relationship between topology and algebra. You can study and classify spaces using the algebra and functorality of fundamental groups and, on the flip side, if you want to prove things about a collection of groups it’s often a good idea to realize them as fundamental groups of spaces with some common features and then use the topology to prove things about the groups. For example, fundamental groups can be used to classify surfaces and, in the other direction, covering space theory provides nice proofs of results like the Nielsen-Schreier and Kurosh Theorems.
What can a topologized fundamental group like be good for? Potentially, it could create an extended symbiotic relationship between spaces with complicated local structure and topologized groups. I’d say this has been carried out in a successful way and the progress is ongoing. For example, long-standing gaps in free topological group theory have been filled using topologized fundamental groups. The only known proofs rely on working with
. Such things could not have been found if everyone had just decided to shove everything into another category.
Also, from a pragmatic viewoint…there are international communities of general topologists studying the topology of actual topological groups. There are not large communities who just study groups internal to, say, compactly generated spaces. Not that there shouldn’t be…but there just aren’t.
Personally, the fact that ends up being really complicated taught me a valuable lesson early on in my research career. If I became unwilling to struggle to work with complicated structures that some mathematicians might find ugly or terrifying, my mathematical world would remain small and leave me with less potential to reveal fascinating and beautiful possibilities.
is a quasitopological group
If not being a topological group is a castle in ruins, let’s pick up some of rubble and build a tiny house out of it.
Definition: a group with topology is a quasitopological group if inversion
is continuous and if multiplication
is continuous in each variable, that is, if all left and right translation maps
given by
and
are continuous for all
.
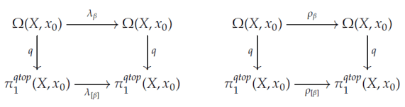
For , let
,
be right multiplication by
, and
,
be left multiplication by
.
Lemma: For any based space ,
is a quasitopological group.
Proof. We have already seen above that inversion in is continuous. Fix
and consider the following commutative diagrams involving left and right concatenation/multiplication.
In both squares, the left map is quotient and the upper composition is continuous. Therefore the bottom maps are continuous by the universal property of quotient maps. .
Theorem: is a functor from the category of based topological spaces to the category of quasitopological groups and continuous homomorphisms.
Proof. The previous lemma, tells us that is well-defined on objects. The underlying algebraic structure of
is the usual functor
so we only need to check that if
is a based map, then the induced homomorphism
is continuous. First, note that there is an induced loop-space function
,
. If
is a subbasic open set in
, then
is a subbasic open subset of
. Thus
is continuous. The map
also induces the homomorphism
,
. Now consisder the following diagram.
Since , the diagram commutes. Moreover, the left vertical map is quotient and the upper composition is continuous. Therefore, the bottom function is continuous by the universal property of quotient maps.
.
If and
are based homotopy inverses, then the homomorphisms
and
they induce are continuous inverses and therefore are homeomorphisms. This means that
is an invariant of based homotopy type.
Exercise: Use the universal property of quotient maps to prove that if is a path from
to
, then the basepoint-change isomorphism
,
is a homeomorphism.
From this exercise, the same argument that is an invariant of unbased homotopy type can be used to show that
is an invariant of unbased homotopy type.
Corollary: If and
are path connected and
, then
as quasitopological groups for any choice of
and
.
There’s a lot more to say about and I’ll get to some of it in future posts. For now we can take away the fact that even though
is not always a topological group, it is still pretty close to being a topological group. Moreover, the natural quotient topology gives us a homotopy invariant, which is much stronger invariant than the usual fundamental group, particularly when it comes to spaces with complicated local structures.
Go to Part II, Part III, or Part IV.
References
[1] D. Biss, The topological fundamental group and generalized covering spaces,
Topology Appl. 124 (2002), 355–371.
[2] J. Brazas, The topological fundamental group and free topological groups, Topol. Appl. 158 (2011) 779–802.
[3] J. Brazas, P. Fabel, On fundamental groups with the quotient topology, J. Homotopy Relat. Struct. 10 (2015) 71–91.
[4] P. Fabel, Multiplication is discontinuous in the Hawaiian earring group, Bull. Pol. Acad. Sci., Math. 59 (2011) 77–83.
[5] P. Fabel, Compactly generated quasitopological homotopy groups with discontinuous multiplication, Topol. Proc. 40 (2012) 303–309.
[6] H. Ghane, Z. Hamed, B. Mashayekhy, and H. Mirebrahimi, Topological
homotopy groups, Bull. Belgian Math. Soc. 15 (2008), 455–464.
[7] J.P. May, G-spaces and fundamental groupoids, appendix, K-Theory 4
(1990), 50–53.
*I’m not really sorry. It does bug me.






