
The (1-dimensional) earring space is a 1-dimensional Peano continuum (connected, locally path-connected, compact metric space) constructed by adjoining a shrinking sequence of circles at a single point.

The earring space
The importance of stems from the fact that this is the prototypical space that has infinite products in it’s fundamental group. This makes it a useful test-space for detecting the existence of non-trivial infinite products (or algebraic wildness) in other fundamental groups. The earring group is not a free group but it is basically an infinitary (i.e. having infinite products) analogue of a free group. Moreover,
is aspherical, i.e.
for
. In this post, I’m going to give a summary about their higher dimensional analogues
, the
-dimensional earring.
Constructing 
Definition: let and
be the
-sphere of radius
centered at
. The
-dimensional earring is the set
with the subspace topology inherited from . Let
denote the origin, which we typically take as the basepoint.

Two views of , the 2-dimensional earring
The -dimensional earring
is simply a convergent sequence and
is the usual earring. We can build
using a variety of constructions:
- One-point compactification:
is homeomorphic to the one-point compactification of a countable disjoint union of open
-cells
, i.e.
.
- Subspace of a product:
is homeomorphic to the wedge sum
viewed naturally as a subspace of
with the product topology. To make this identification, the
-th wedge summand is identified with the set
where
if
and
.
- Inverse Limit: Let
be the union of the first
-spheres and
be the retraction that collapses
to
and is the identity elsewhere. Then the natural retractions
collapsing
to
induce a homeomorphism
.
- Reduced Suspension: For
, the
-dimensional earring
is homeomorphic to the reduced suspension
of the
-dimensional earring. By iteration, we obtain a formula similar to that for ordinary spheres:
for all
. It is important here that we use the reduced suspension and not the unreduced suspension. The undreduced suspension
is not homotopy equivalent to
. This means that your typical tricks, including Mayer Vietoris Sequences, won’t be helpful for computing the singular homology groups of
.
The 2-dimensional earring , was shown to have some interesting properties in the famous paper [1] by Barratt and Milnor. To put their observation into context, recall that if we consider an ordinary wedge of
-spheres, elementary computations show that
It might seem that should be similar. In particular,
is simply connected and locally simply connected. However, Barratt and Milnor showed that there are infinitely many
such that
is uncountable! This seems really strange and “anomalous” until one reads the paper to see how it’s done.
I’ve said it once and I’ll say it again: the “wildness” in wild algebraic topology is really just about infinite products. The reason why higher homology groups of are often non-trivial is precisely because one can consider infinite sums
of elements of
, e.g. given by shrinking sequences of non-trival Whitehead products. Even though
is trivial in homology of any finite wedge of the spheres
, the
-cycle represented by the infinite
(apply the Hurewicz homomorphism) is not the boundary of a finite sum of
-chains and therefore represents a non-trivial homology class.
The homotopy groups
, 
Recall that a space is
-connected if
is trivial for
.
Theorem (Eda-Kawamura): is
-connected and locally
-connected. Moreover, the embedding
induces an isomorphism on
.
This means that
is the Baer-Specker group.
Easy part of the proof: is onto.
Identify with
. Given a sequence of integers
, let
be a map such that
. Define
as the infinite concatenation of
-loops. Explicitly,
is defined so that the restriction
is
, for all
and
.

The map as an infinite concatenation of 2-loops
It’s now easy to see that , proving that
is surjective.
Hard part of the proof: is injective.
The Eda-Kawamura proof in [2] is inspired but is written in a very technical fashion and has scared off many-a-reader. Essentially, the key idea of the proof is to simultaneously perform simplicial/cellular approximation on an infinite sequence of disjoint polyhedral domains in . Then you work to perform an infinite Eckmann-Hilton type argument, to show that every map
is homotopic to one of the form
as described above, i.e. where
has image in
. Then if
, each
has degree
as a map
and thus is null-homotopic in
. Let
be such a null-homotopy where
and
. Then we can define a null-homotopy
of
so that
for
and
.
I do wonder if there is a simpler inverse limit type approach to proving that is injective where the null-homotopy
is built as an inverse limit of null-homotopies
. It would still be highly non-trivial, but would lend some insight into dealing with higher dimensional homotopy groups. If possible, one would likely have to inductively build the maps
by applying simplicial approximation at each step.
The homotopy groups
, 
As noted in my problem list, these groups are still unknown. Of course, the higher homotopy groups of spheres are mysterious themselves here so the ultimate goal would be to express in terms of homotopy groups of spheres.
From above, we may consider as a closed subspace of the direct product
over the naturals. The key is to notice that the argument for the “easy” part of the proof above applies to any dimension: for any
, the inclusion
induces a surjective homomorphism
. Moreover, by applying infinite commutativity, i.e. infinite Eckmann-Hilton, this surjection is a split epi.
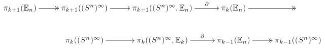
Let’s look at the homotopy long exact sequence of the pair :

The surjections tells us that we really have

which splits up into short exact sequences:
![]()
Since the epi always splits canonically, we have
This tells us at least that explicitly computing requires computing
. Notice that the Eda-Kawamura computation only tells us that
.
An interesting case is
since is generated by the Hopf map.
So the cheesesteak-worthy question is: what is when
?
It will typically be non-trivial because of Whitehead products and infinite products of Whitehead products…just like in Barratt-Milnor! I have my own ideas about what the answer is in the case , but there is one technical hurdle in the way from making it precise. There is a piece of technology missing that needs to be developed.
References:
[1] M.G. Barratt, J. Milnor, An example of anomalous singular theory, Proc. Amer. Math. Soc. 13 (1962) 293-297.
[2] K. Eda, K. Kawamura, Homotopy and Homology Groups of the n-dimensional Hawaiian earring, Fund. Math. 165 (2000) 17-28.
Added 3-12-20. I recently learned that the splitting of the exact sequence above appears in the following:
[3] K. Kawamura, Low dimensional homotopy groups of suspensions of the Hawaiian earring, Colloq. Math. 96 (2003) no. 1 27-39.
Pingback: Infinite Commutativity: Part II | Wild Topology